
A drag model containing compressibility,rarefaction and temperature ratio effects based on genetic algorithm fitting
章利特*,吴思璠,冯杨,孟祥博,张恒,金浩哲*,许根富*
Keywords: General drag model;Temperature-ratio corrections;Critical Reynolds number;Genetic Algorithm
DOI: 10.1016/j.partic.2025.09.007
现有的颗粒阻力模型难以同时兼顾通用性和准确性。本文基于大量实验数据、直接数值模拟(DNS)和直接模拟蒙特卡洛(DSMC)的结果,且综合考虑了可压缩性、稀薄气体、温度比、激波物理、阻力危机及恢复效应等多重因素,提出一种适用于气体介质中运动球形颗粒的半经验通用阻力系数公式,并基于遗传算法的优化,最终构建了一个具有明确表达式的阻力系数模型。该模型可用来精确表征颗粒在宽马赫数(0≤Mp≤10)和宽雷诺数(10-3≤Rep≤106)范围内的运动阻力特性。

相关研究成果发表于PARTICUOLOGY(Volume 106),欢迎感兴趣的读者扫描下方二维码或者点击文末“阅读原文”进入ScienceDirect官网阅读、下载!

亮点
1. 本文构建了一个综合考虑可压缩性、稀薄气体、温度比、曳力危机、曳力恢复效应以及激波物理等多重因素的球形颗粒通用阻力模型。
2. 利用遗传算法优化模型参数的函数形式和模型常数,使新模型适用于从连续流到自由分子流、从不可压缩流到高超声速流等所有流态。
3. 模型中的基准数据集是基于大量高精度实验、直接数值模拟(DNS)和直接模拟蒙特卡洛(DSMC)的结果,从而确保了所构建模型的可信度。
4. 与近年开发的通用模型相比,本文构建的新模型具有更低的综合相对误差,同时利用实验结果也进一步获得验证,而且新模型具有更高的预测精度。
研究背景
在喷涂工业、航空航天等领域,颗粒所处的气流环境可能涵盖从连续流到滑移流、过渡流乃至自由分子流的多种流态,以及从不可压缩流到跨声速、超声速乃至高超声速的宽流速范围。精确表征气流中的微颗粒运动,对现代工业制造以及科学研究具有重要的意义。为了准确模拟颗粒的运动,有必要对流场中颗粒所受的阻力进行精确计算。目前,高精度通用阻力模型的开发仍面临三大挑战:实验数据不完备、多尺度物理机制尚未明晰,以及跨流态建模框架存在局限性。本文基于大量实验数据以及数值模拟结果,结合数据驱动技术,构建了一个半经验的通用阻力系数模型,用以精确表征颗粒在流场中的运动阻力特性。

图1. 基于克努森数Kn的流态划分
要点精读
1. 不可压缩流颗粒阻力模型
对于不可压缩流,经典Clift-Gauvin模型在亚临界雷诺数(Rep<2.5×105)条件下具有良好的预测精度,但不具备曳力危机和曳力恢复阶段的预测能力,因此,引入分别对应曳力危机和曳力恢复启动的两个临界雷诺数Rep1和Rep2,优化了对应Clift-Gauvin模型第二项的高雷诺数修正项CD,C,其核心在于:(1) 在该项分母中引入缩放因子k3,以优化基准预测;(2) 嵌入一个非对称响应模块,用于捕捉典型的分叉阻力行为(危机阶段的急剧下降和恢复阶段的逐步回升)。
Clift–Gauvin模型:

不可压缩流新模型:

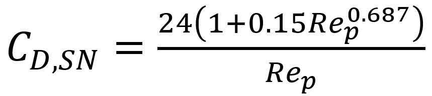
Schiller–Naumann模型:

高雷诺数修正项:


图2. 零马赫数极限条件下新阻力模型与其他模型及基准数据的对比
2. 亚声速流颗粒阻力模型
对于亚声速流,利用前述高雷诺数修正项CD,C考量可压缩性的影响,利用自由分子区理论模型CD,FM限定该极限条件下的阻力系数,以及利用Clift和Gauvin提出的稀薄效应修正因子fr对Schiller–Naumann模型CD,SN进行修正,从而实现将过渡区和滑移区流态包含在模型中;同时,引入与颗粒马赫数Mp相关的参数a、k1和k2,并对这三个不同功能项进行非线性加权,获得包含不可压缩流条件的亚声速流阻力系数模型框架。进一步,结合大量实验数据、DNS与DSMC模拟结果形成基准数据集,并利用遗传算法优化关于Mp的函数形式及模型常数。

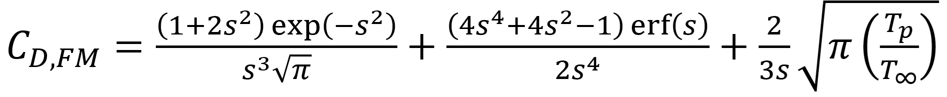
自由分子区理论模型:

稀薄效应修正因子:


图3. 基于遗传算法的阻力系数模型建立过程示意图

图4. 亚声速条件下新阻力模型与其他模型及基准数据的对比
(a) Mp = 0.35;(b) Mp = 0.62;(c) Mp = 0.77;(d) Mp = 0.89
3. 超声速和高超声速流颗粒阻力模型
对于超声速和高超声速流,考虑到稀薄流中颗粒-气体温度比对阻力系数的显著影响,引入了修正指数ft对自由分子区理论模型CD,FM进行修正;鉴于超声速流动对曳力危机的抑制作用,对高雷诺数修正项CD,C进行了局部调整;而且还引入涵盖激波效应的桥函数Br。通过对两个修正项的非线性加权,获得了超声速和高超声速模型框架,再利用遗传算法获得各拟合参数的优选函数形式及模型常数。
新模型框架:

自由分子区修正模型:

调整高雷诺数修正项:

桥函数:


图5. 超声速和高超声速条件下新阻力模型与其他模型及基准数据的对比
(a) Mp = 1.15;(b) Mp = 1.55;(c) Mp = 1.75;(d) Mp = 2.0;(e) Mp = 6.0;(f) Mp = 10.0
4. 阻力模型的综合相对误差及对实际流动的预测对比
首先,定义基准数据集所有参数组合条件下的相对误差平均绝对值为综合相对误差ε。研究结果显示,近年开发的Loth模型和Singh模型的ε值分别为17.3%和19.7%,而本文开发的新模型的ε值仅为3.3%,其综合相对误差显著降低。利用激波气固两相流风洞实验(Tedeshi等)和缩放喷管实验(Meyer等)数据,分别采用Loth模型、Singh模型和本文开发的新模型对不同条件下的气固两相流进行数值模拟,进一步验证了新模型的准确性;而且,与Loth模型和Singh模型相比,新模型的预测精度具有显著优势。

图6. Tedeshi激波风洞实验条件(a)P0 = 0.5×105 Pa;(b) P0 = 0.15×105 Pa;
Meyer缩放喷管实验条件(c)钛颗粒;(d) Ste-21颗粒不同阻力模型预测对比
主要结论与展望
本文基于圆球绕流物理机制、理论模型以及经典经验模型,并结合遗传算法,构建了一个球形颗粒通用的半经验阻力系数模型,可应用于宽马赫数(0≤Mp≤10)和宽雷诺数(10-3≤Rep≤106)范围且涵盖从不可压缩流到高超声速流、从连续流到稀薄流动的多种流态。
未来该领域的研究工作需侧重于较高马赫数(Mp≥0.77)条件下雷诺数超过106时曳力危机及曳力恢复等相关数据的完善,相关温度比效应方面精确数据和研究的深入,以及随机空间分布稠密相颗粒和非球形颗粒系统阻力模型的深入研究和开发。
通讯作者简介

章利特,浙江理工大学,副教授,主要从事气固两相流及多相流冲蚀磨损机理分析与模型构建。主持国家自然科学基金1项,浙江省自然基金2项、重点科技创新团队内设项目2项。发表期刊论文80余篇,出版专著2部;授权中国发明专利18项、实用新型26项;先后获中国机械工业科学技术奖、中国腐蚀控制技术协会科学技术奖、中国商业联合会科学技术奖、浙江省安全生产科学技术奖和应急与安全科学技术奖等。
供稿:原文作者
排版:《颗粒学报》编辑部
文章信息
Zhang, L., Wu, S., Feng, Y., Meng, X., Zhang, H., Jin, H., & Xu, G. (2025). A drag model containing compressibility,rarefaction and temperature ratio effects based on genetic algorithm fitting. Particuology, 106, 248-260. https://doi.org/10.1016/j.partic.2025.09.007